We noted last week that Chapter 9 of last summer’s contrarian US Department of Energy Report on climate found mixed evidence of whether warming was good for agriculture or not. And identified one of the problems with many econometric studies, that they only looked at temperature while ignoring the rise in CO2. The other option, of course, is to look at both together, which is usually done using computer models where the researcher can simulate crop yield changes under many different climate conditions. There have been thousands of such studies and who has time to read them all so the experts turn to meta-analyses in which the results are piled up and reduced to averages using a statistical model. So models of models. The results of which are then fed into other models to compute how much you should pay for your carbon sins. And for a while it looked like the bill would be steep, if implausible. But it turned out that in addition to stacking the deck with tendentious modeling atop more tendentious modeling, they also left out half of the data. Where have we heard this one before?
The story goes back to 2014 when a team in the UK put together a collection of over 1,700 results from crop modeling studies and ran an analysis that concluded that while warming was harmful overall, it was sufficiently offset by the benefits of CO2 fertilization to balance things out overall. But then in 2017 a group led by Francis Moore in the US took the same data and concluded that warming would be very harmful for global agriculture. That study (of course) was the one the Biden Administration cited as a reason to hike its Social Cost of Carbon estimate. Which got the attention of University of Guelph economist Ross McKitrick, making him wonder why two different teams got such different results on the same data. So he got the data and started working on it.
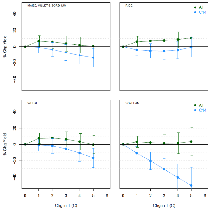
Oh dear. What he noticed was that only half the rows in the data set were complete, with the other half missing the change in S. (Sulphur for those who unaccountably have not memorized the periodic table.) Since the analysis could only use the complete rows it dropped half the data. So he looked at the underlying crop model studies and recovered the missing CO2 data. When he put it back in and re-ran the second analysis, the results changed. The losses in crop output relative warming which the Moore 2017 study reported changed into gains:

In the above chart, in each panel the vertical axis shows the percent change in crop yield and the horizontal axis shows temperature change. The blue lines show what the Moore study predict from warming: declines in output at all warming levels. The green lines show what McKitrick calculated after putting the missing CO2 data back in: net gains from warming for all crop types even out to 5 degrees of warming. False alarm, yet again.
The DoE report then discusses the potential problem that, with all the extra CO2 in the air, plants might grow better but the density of nutrients doesn’t go up with the crop mass, so the concentration of protein and important minerals could decline. Again, rising temperatures might offset this effect. But to the extent it happens, crop breeding can raise micronutrient contents of crops, and fortification of food is already routine (vitamin B in flour, iodine in table salt, etc.) And if all else fails, people can take dietary supplements. But what if the poor can’t afford Flintstones? Here the authors remind readers that the scenarios driving warming are based on the assumption that income is going to grow rapidly around the world:
“It should also be noted the IPCC emission scenarios that generate high levels of warming also involve strong income growth. The SSP scenarios assume that, compared to 2005 levels, global per capita income will double by 2100 in the lowest growth case (SSP3), and in the highest emission case (SSP5) global per-capita income will grow nearly 16-fold. In that scenario even the poorest regions (Africa and the Middle East) end up with a per capita income of about US$126,000, 70 percent higher than current U.S. per capita income (about US$75,000). Consequently the same scenarios in which CO2 levels increase the most are also those in which global poverty is largely eliminated, in which case all countries would be able to afford dietary supplements as necessary to address micronutrient deficiencies, if they arise and cannot be addressed using on-farm agricultural strategies.”
In which case we should be so lucky as to live to see the highest emission scenarios come true.
Next week: Managing risks of extreme weather.



Very cool analysis, here in the US the climate craze is over with, the only proponents in the Federal government being crazy old ladies with purple hair!
Greenhouse operations that fortify the air with extra CO2 could learn from this and install air conditioning. Don’t you wonder why greenhouses are so warm? The greenhouse operators are so ignorant. And surely farmers dread the prospect of a longer growing season.
If only that was true in the UK Thomas. Notwithstanding the cult leader, Milibrain.
And it won't be until that the electric bills are so outrages that people will wake up and smell the coffee.