How long? Four and a half million years, that’s how long. And notwithstanding recent warming, the oceans including the deepest layers are cooler now than they’ve been for most of that time. We learned this from a post by Kenneth Richard at No Tricks Zone which we followed to a paper published in early 2025. That paper uses paleoclimate proxies so all the usual cautions apply. But they report on lots of reconstructions of sea surface, mid-ocean and bottom-water temperatures over the past few years and they all look remarkably similar, namely like this:

The horizontal axis is measured in millions of years and starts at 4.5 million years ago (Ma being “Millions ago”). We are astonished that this is the first time we heard that the oceans, and everything in them, spent that last 4.5 million years warmer than at present, instead of that the seas were “boiling”, experiencing “[u]nprcedented Ocean warming” and so on ad Guterres. And that nobody who was anybody thought it relevant that, as the diagram shows, despite the long downward trend, there have been nonstop swings up and down long before modern greenhouse gases. But read on, because there are more surprises.
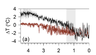
One of the figures in the paper is a set of nine ocean temperature reconstructions and they all look like this chart:

The black line shows global mean sea surface temperature and it is the same in each panel, while there are nine different versions of the red line which shows estimated bottom water temperature. We won’t show you all nine since, as we said, they all look about the same, but in case you’re from Missouri you can see them on page 6 here. The black line is from a 2024 paper in Science magazine by a group of American, Irish and German scientists. That paper was accompanied by an Editor’s Statement which began:
“Global climate has cooled considerably over the past 4.5 million years, but by exactly how much and following exactly what trajectory is difficult to specify because of uncertainties in the proxy methods commonly used to measure temperatures.”
Waaaaait a minute. What? Cooled considerably? Why are we just learning it now?
OK, we’re not. We know about the Pleistocene. But why is the “settled science” only blurting out now that the settled science says the oceans, like the Earth, are cooling and have been for a very long time?
To be sure, this statement refers to climate on a timescale of millions of years not the last 18 or 49 or 150. But we’re not the ones who keep shrieking about the “hottest year ever!!” and warning that the corals are all going to die because the water is on fire.
Actually what the reconstructions show is that the corals, and all the other creatures in the ocean, evolved over long intervals when the water was warmer than at present. (And yes, we told them so.) The reconstruction also shows that for the past half million years climate has whipsawed up and down over a large range, all for reasons that have nothing to do with you or me or the guy with a pickup truck up the street.
So next time the climate crowd squints at their thermometers and declares it the hottest year EVER just remember that they forgot to add except for the 4.5 million years that came before. And the 500 million before those, in case anyone’s counting. And most of the 4 billion before that.



PERFECT!
Hmmmm ....
You don't say what the vertical axis represents exactly - it's a delta - is that the difference between one time period and the previous, or something else?
According to the quoted paper, we are talking of "Proxy-based reconstructions of changes in bottom water temperature ".
So we might assume that we get to a cooling period when the cooling deltas (those below the zero value line) begin exceeding the heating deltas, ie: at approx 2.5 Ma for the BWT deltas where they cycle briefly around the zero delta (ie: no change) point where alternate heating and cooling cancel out overall.
Prior to that there would be overall warming, and overall cooling later.
Not that that makes much difference to your overall argument ... but it would indicate a preceding period of overall warming prior to the 2.5 Ma point.
Prior to around 3.3 Ma the cooling deltas (those below the zero mark) reduce and become consistently trivial around 4 Ma, indicating consistent warming prior to that.
Perhaps everything moves in cycles, as we might guess.